腾博tengbo9885官网

目今位置:产品中心
guobang
产品中心
立人立国 兴业兴邦
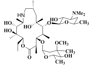
二氢高红霉素

中文名称:二氢高红霉素
英文名称:Azaerythromycin
CAS No.:76801-85-9
分子式:C37H70N2O12
包装规格:凭证需求定制

二氢高红霉素
返回主目录
关联产品
名称 审查详细
硼氢化钠 审查详细
硼氢化钾 审查详细
氢化钠 审查详细
环丙胺 审查详细
N-甲基哌嗪 审查详细
N-乙基哌嗪 审查详细
硼酸三甲酯 审查详细
四氢吡咯 审查详细
加米胺 审查详细
红霉素A(E)肟 审查详细
环丙羧酸 审查详细
11条纪录 第1页
 跳转至
网站地图